Алматы қаласы Білім басқармасының
«№89 жалпы білім беретін мектеп»
коммуналдық мемлекеттік мекемесі
Қабылдау:
+7 (727) 251-28-29
Бухгалтерия:
+7 (727) 251-29-51
eOtinish.kz
mektep89_
Нашар көрушілер
нұсқасы
Кіру
Қазақша
|
Русский
kitaphana.edu.kz
digitallibrary.kz
bookfund.kz
Басты
Президент жолдауы
Мемлекеттік рәміздер
Кері байланыс
Ақпарат
Аттестация
Өзін-өзі бағалау
Тестiлеу натижелерi
Есептер
Инклюзивтік оқыту
Нормативтік құжаттар
ЦППР
Әдістемелік жұмыстар
Жылдық жоспарлар
Циклограмма
Педагогикалық кеңес хаттамалары
Біз туралы
Тарихымыз
Әкімшілік
Мұғалімдер
Ата-аналарға
ТВ-Видео
Байланыс
Іс-шаралар
Тәрбие жұмысы
Оқушыларға
оқуға құштар мектебі
Жетістіктеріміз
Сабақ кестесі
ҰБТ
Оқушылар жетістіктері
Тамақтандыру
Ас мәзірі
Ас мәзірі оқушыларға
Ас мәзірі қызметкерлерге
Ашық конкурс
Дұрыс тамақтануды мәдениеті және оны насихаттау
Қызметті қаржыландыру жоспары
Асхананың қызметі
Тамақтандырудың сапалық мониторингі
Келісім шарттары
Ашық бюджет
Жеке қаржыландыру жоспары
Қаржылық қызметтің негізгі көрсеткіштері
Мемлекеттік сатып алу жоспары
Кіріс және шығыс есебі
Бекітілген бюджет
Ашық орган
Жемқорлыққа қарсы күрес
Қамқоршылық кеңес
Мемлекеттік қызмет
Регламент
Стандарттары
Табу
"№89 жалпы білім беретін мектеп" Коммуналдық Мемлекеттік мектеп Алматы қаласы
»
Аттестация
»
Жылдық жоспарлар
» 2020-2021 оқу жылына арналған тәрбие жұмысының жылдық Жоспары
01
қыркүйек
2020
0
1
2
3
4
5
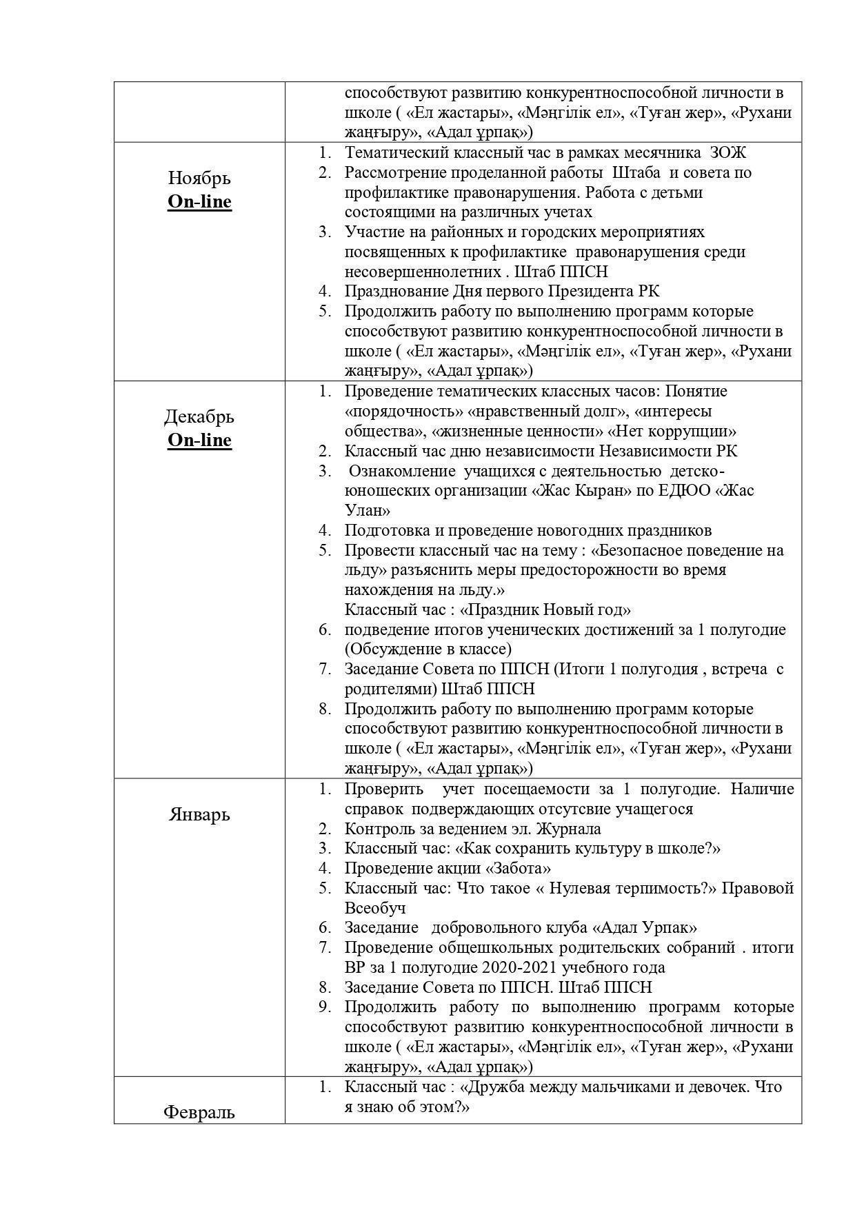
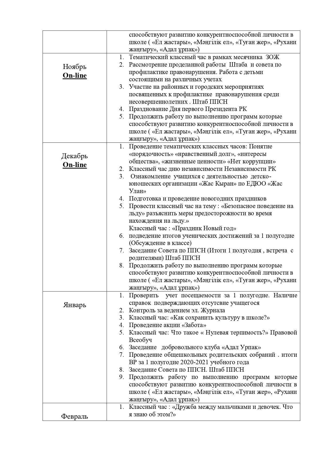
2020-2021 оқу жылына арналған тәрбие жұмысының жылдық Жоспары
Похожие публикации:
01 қыркүйек 2021
2021-2022 оқу жылына арналған № 89 ЖЖБ педагогикалық ұжымының ОТІ жұмысы бойынша жобасы/ Проект деятельности педагогического коллектива КГУ ОШ №89 на 2021-2022 учебный год
01 қыркүйек 2021
2021-2022 оқу жылына арналған мектепішілік бақылау жоспары/ План внутришкольного контроля КГУ ОШ № 89 на 2021-2022 учебный год
01 қыркүйек 2022
2022-2023 оқу жылына арналған зияткерлік тәрбие бағыты бойынша жылдық жоспар
01 қыркүйек 2022
2022-2023 оқу жылына арналған Еңбек, экономикалық және экологиялық тәрбие бағыты бойынша жылдық жоспар
01 қыркүйек 2022
Нашақорлықтың, темекі шегудің және алкоголизмнің алдын алудың 2022-2023 оқу жылына арналған бірлескен жылдық Жоспары
01 қыркүйек 2022
Рухани-адамгершілік тәрбие бағыты бойынша 2022-2023 оқу жылына арналған жылдық жоспар
01 қыркүйек 2022
2022-2023 оқу жылына арналған Көпмәдениетті және көркем-эстетикалық тәрбие бағыты бойынша жылдық жоспар
01 қыркүйек 2022
2022-2023 оқу жылына арналған ұлттық тәрбие бағыты бойынша жылдық жоспар
01 қыркүйек 2022
2022-2023 оқу жылына арналған Отбасылық тәрбие бағыты бойынша жылдық жоспар
01 қыркүйек 2020
2020-2021 оқу жылына арналған Еңбек, экономикалық және экологиялық тәрбие бағыты бойынша жылдық жоспар
01 қыркүйек 2021
2021-2022 оқу жылына арналған Еңбек, экономикалық және экологиялық тәрбие бағыты бойынша жылдық жоспар
01 қыркүйек 2020
Қазақстандық Патриотизмді тәрбиелеудің 2020-2021 оқу жылына арналған жылдық Жоспары
01 қыркүйек 2021
Қазақстандық Патриотизмді тәрбиелеудің 2021-2022 оқу жылына арналған жылдық Жоспары
01 қыркүйек 2020
Рухани-адамгершілік тәрбие бойынша 2020-2021 оқу жылына арналған жылдық жоспар
01 қыркүйек 2021
Рухани-адамгершілік тәрбие бойынша 2021-2022 оқу жылына арналған жылдық жоспар
01 қыркүйек 2020
2020-2021 оқу жылына салауатты өмір салты бағытындағы жылдық жоспар
01 қыркүйек 2021
2021-2022 оқу жылына салауатты өмір салты бағытындағы жылдық жоспар
01 қыркүйек 2020
2020-2021 оқу жылына арналған зияткерлік тәрбие бойынша жылдық жоспар
01 қыркүйек 2020
2020-2021 оқу жылына арналған Отбасылық тәрбие бағыты бойынша жылдық жоспар
01 қыркүйек 2020
2020-2021 оқу жылына арналған ұлттық тәрбие жөніндегі жылдық жоспар
01 қыркүйек 2020
2020-2021 оқу жылына арналған көпмәдениетті тәрбие бағыты бойынша жылдық жоспар
01 қыркүйек 2021
2021-2022 оқу жылына арналған Көпмәдениетті және көркем-эстетикалық тәрбие бағыты бойынша жылдық жоспар
01 қыркүйек 2021
Зияткерлік тәрбие бойынша 2021-2022 оқу жылына арналған жылдық жоспар
01 қыркүйек 2021
2021-2022 оқу жылына арналған Отбасылық тәрбие бойынша жылдық жоспар
01 қыркүйек 2021
2021-2022 оқу жылына арналған ұлттық тәрбие жөніндегі жылдық жоспар
Авторизация
Войти на сайт
Чужой компьютер
Забыли пароль?
Регистрация